
For students and parents, there is often an expectation going into standardized tests like the ACT and SAT that a student who was good at school tests will succeed on them. While skill and past performance is certainly a factor, many people are surprised by how different their experience is with standardized tests. Furthermore, they can become frustrated by how much harder it is to improve their score on the SAT and ACT versus a school exam. Why does this occur? In this article, we will explain the difference between standardized tests and school exams, including what they are testing, how they test it, and how you need to adjust your approach to improve your score.
This post was written in collaboration with Annie Tadros, Director, My College Prep Online.

To understand the difference between school tests and standardized tests like the SAT and ACT, let’s talk about what each type of test is like.
In school, each test you take is like a stepping stone on the way to success. School exams have a narrow focus, zooming in on specific chapters you’ve studied for the last few weeks. They rely heavily on memorization and recall. School exams stick to the script, testing only what you’ve encountered in class and on homework and not introducing new ideas.
The ACT and SAT, however, are more like challenges you have to complete that use what you’ve already learned, but can include things you’ve never seen before. Standardized exams like the ACT and SAT test your last 4 years of academic knowledge and skills, and arguably test the last 8-9 years if you include basic grammar and math. Furthermore, standardized exams introduce new ideas and have you figure them out. They can also sometimes require extra layers of logical and deductive reasoning from the student, where they have to determine what the question is actually asking and how it can be solved.
Standardized tests like the ACT and SAT require you to demonstrate not just what you know, but what you can do with that knowledge. How you can analyze, problem-solve, and communicate effectively. Put another way, these tests aren’t just about what you remember – they’re about what you can do with it. They want to see how you can think, solve problems, and explain things clearly. This means studying differently. Instead of just memorizing rules and formulas, you need to understand them, be able to use them in new situations, and deduce the right tools to approach a problem.

Score increases on school tests are linear, this is due to the fact that school exam questions test one concept or segment per question. A 95 on a school test means that you got 95% of questions right. Improving your score is simple: learn the skills, facts, formulas, or rules that you are missing; get the incorrect questions right; and you’ll improve your score.
Meanwhile, improving your score on standardized exams is not necessarily linear. Yes, getting more questions right will give you a higher score. But these test questions may test multiple concepts or segments within a single question. That means that you have to learn and understand many concepts to be able to solve a particular question on the SAT or ACT that you got wrong. This is not a linear relationship between what you’ve learned and your score – it can vary from question to question.
This is a big part of the reason why improving scores on standardized tests can frustrate students. They have always learned in a system where learning is linearly correlated with score increases. For standardized tests, this relationship can be different – students might need to learn 3 or 4 concepts and be able to apply them in tandem to solve a particular problem.
School exams are predictable, as questions mirror classwork and homework. As we said before, these questions are measuring how well you recall facts, rules, and formulas.
The SAT and ACT, however, are different because they mix knowledge, understanding, and skill. They test not just what you’ve learned, but how you can apply your knowledge to solve problems you aren’t always familiar with.
Take reading comprehension questions, for example. In this section of standardized tests, you are no longer dealing with straightforward textbook passages. Reading comprehension questions trip you with twisting passages, tricky relationships between the author and their point, and confusing structure – all to challenge your ability to untangle meaning. They test your ability to untangle the author’s intentions, infer meaning from subtle clues, and connect the dots across paragraphs. It’s not just about knowing vocabulary or identifying literary devices; it’s about actively engaging with the text, dissecting its layers, and ultimately extracting its essence.
Similarly, grammar and math, while still requiring a foundation of knowledge, shift the focus from mere recall to rule-application. You are tested on how well you know the rules to solve problems. These tests aren’t just about what you know – they’re about how you think and how you use what you have learned.

The SAT Math section tests the same mathematical concepts as school math tests, but the problems appear differently on the exams. While school tests focus on rote memorization and formula recall, the SAT math section emphasizes critical thinking, problem-solving, and the ability to apply your knowledge in new situations.
In the SAT Math section, instead of straightforward questions that ask you to plug numbers into formulas, you’ll encounter problems that combine multiple mathematical concepts in unexpected ways. This requires you to think creatively and strategically, drawing on various skills and knowledge areas to reach a solution.
For instance, one question might involve combining elements of algebra and geometry, demanding you to understand the relationships between shapes, variables, and equations. This interweaving of concepts challenges you to consider different approaches to arrive at the correct answer.
As an example, the SAT problem below is a formula that shows the monthly payment needed to pay off a loan, considering interest and loan duration.
The answer choices show different ways to express the principal loan amount (P) based on the monthly payment (m), interest rate (r), and number of months (N). Furthermore, the formula involves dividing by a term that includes an exponent. This can be tricky for some students, as it requires a good understanding of both order of operations and how to work with exponents. Then you need to solve for the unknown variable. In this case, the unknown variable is m, the monthly payment. You need to be able to isolate m on one side of the equation and solve for it. This makes the question challenging, especially those who might have difficulty with the underlying concepts.

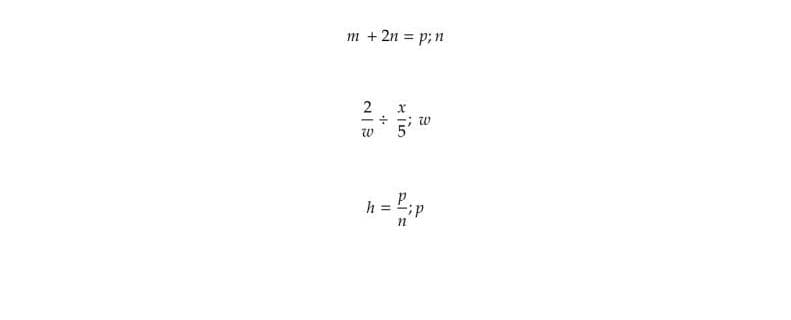
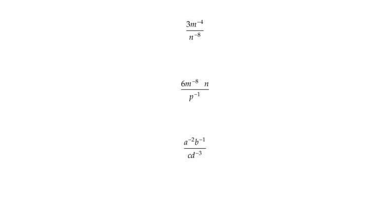
In comparison to the SAT, school math tests are simpler. Take the dividing fractions example below. It requires multiple steps to solve and understanding of the concept of reciprocals and the ability to multiply fractions. However, it only requires that you understand this one concept to be able to solve it.
Let’s go over a few more examples. The isolating variables examples below require that you solve a linear equation for one variable. It requires understanding basic algebraic operations like addition, subtraction, and division, and the ability to manipulate equations to isolate the desired variable. But there is no lengthy word problem to decipher leading into these, and they are all solvable with one concept.
Finally, in the exponents example below, it is simple to solve if you have memorized the quotient of powers rule. This rule explains that when dividing exponents with the same base, you subtract their powers. This demonstrates the simplicity for school tests as it focuses on a single, fundamental rule of exponents (the quotient of powers rule) without combining multiple concepts.
Isolating Variables

Dividing Fractions

Exponents

SAT and ACT questions about reading, writing, and language follow a similar pattern to the math questions. Literature exams test what you learned in class, like dissecting Shakespeare or mapping symbolism. On standardized tests, each passage can throw a curveball, testing your skills on the fly while reading about unfamiliar subjects. There’s still reading comprehension and grammar involved, but the SAT focuses on a deeper, more analytical approach. Think of it like dissecting a text instead of simply summarizing it.
The bottom line is this: approaching school exams and standardized tests like the SAT and ACT requires different tools in your learning toolbox. Understanding these nuances is key to understanding why your star student might be struggling to improve their standardized test score. Once you shift your focus from simply regurgitating information to applying the concepts in new environments, you will be on your way to standardized test-taking success.

The SAT, or Scholastic Aptitude Test, is a standardized test offered by the College Board for undergraduate college admissions. Alongside ACT, the SAT is one of the two most important and popular tests for evaluating students during the admissions process for colleges in the United States. 1.9 million high school students students took the SAT …

When looking to get into college, one of the most significant hurdles high school students face is standardized testing. For decades, the SAT and ACT have been the most commonly taken standardized tests in the United States, and are in many ways the ‘gatekeepers’ of college admissions. Navigating the differences between these two exams can …

The digital SAT, short for the digital Scholastic Assessment Test or “dSAT”, is a standardized test taken by high school students in the United States or internationally. This test is often a requirement for college entrance applications and was traditionally administered in a pen and paper format. However, the SAT has transitioned to a digital …